1 前言
cv从动,从动,从动,从动,从动,从动,从动。清洁度:纱清洁度:清洁度:清洁度:清洁度:清洁度如何分析检测结果,并使其更能反映客观实际?是我们检测人员不断探讨的课题。本文通过对比试验,即在不同温湿度条件下用一台试验仪器测试同批纱线的电子条干CV值,来探讨温湿度条件对测试电子条干CV值读数的影响。
2不同温湿度下同一批纱的对比试验
2.1
样品:我省长期生产的3种单纱C18.2特克斯,T / R 90/10 13特克斯和T / C 97/03 12.8 tex,每种样品10管。
[au:]
方案1:将上述3种样品放置在自然大气条件的试验室内平衡24小时后测试,试验时的温度为23℃,相对湿度为75%。
2: 20℃,RH, 64%, 24小时。
方案3:将上述3种样品放置在温度为75℃的烘箱内烘至恒重后,放在干燥器里冷却0.5 h后,逐一拿出,立即测试,试验在温度为20℃,相对湿度为64%的条件下进行,由于试验仅需1分钟,所以纱线可视为干燥状态。
2.2
3种样品在上述3种方案下的测试结果见表1。
2. 2.3
本试验对每个纱线样品在上述3种方案下各做了10次测试,每个管纱1次,因为样本的量还不够大,随机因素有可能影响得出接近真实的结果,所以再用“方差分析法”来判断温湿度条件变化这一因子对测试结果的影响。
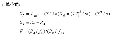
设yij为方案我(i = 1, 2, 3)下第j (j = 1, 2, 3, 4, 5, 6, 7, 8, 9, 10)个试样的测试结果,Ti为方案我下数据和,T为总,和圣为总离差平方和,SA为因子(方案)的离差平方和,SE为随机误差的离差平方和,英国《金融时报》,fA,铁分别为圣,SA SE的自由度,r为方案数,m为每一方案下进行的试验次数。
在本试验中,r=3,m=10,n=r•m=30,fT=n-1=29,fA=r-1=2,fE=fT-fA=27。
计算公式:(见公式1)
2.3.1 C18.2tex
st =22.62 sa =12.00 se = 10.62f =6.78。如果α= 0.05(误判的概率小于5%),从F分布表查得:F0.95(2.27) = 3.35,由于F = 6.78 > 3.35,说明因子为显著因子,这表明温湿度是影响测试结果的因素,3个不同条件下测得的平均CV值是有明显的差异。这个判断的准确率在95%以上。
2.3.2 T/R 90/10 13tex叽叽叽叽
1 . st =10.51 sa =3.06 se = 7.44f =2.47。如果α= 0.05(误判的概率小于5%),由于F = 2.47 < 3.35,说明因子为不显著因子,可以判断对此样品在不同的温湿度条件下测得的平均CV值没有明显的差异。
2.3.3 T/C 97/03 12.8tex叽叽叽叽
1. st = 12.85sa = 1.81se = 11.04f =0.99α=0.05, f =0.99<3.35。【中文译文】、、、、、、、、、、、、、
2.4 .微信号
乌斯特电子条干仪(即电容式条干仪)是利用电容检测原理测试纱条条干不匀,其检测器是由两个平行金属极板组成的平板式空气电容器,当相同的电介质连续通过电容器极板时,电容量的变化率与介质质量的变化率呈线性关系。因此,当纱条以一定速度连续通过电容器极板时,纱条线密度的变化即转化为电容量的变化。将检测器输出的电信号经过电路运算处理即可提供表示纱条条干不匀特征的各种结果。
2.4.1 . org . org .纤
纺织纤维具有吸湿性,由于水是一种极性物质,介电常数很高,为81(空气的介电常数约为1,一般纺织纤维的介电常数不大于10)。与干燥纱线相比,吸湿后的纱线通过电容极板时,对电容量变化的影响要大得多,这就是造成测试读数随试验温湿度的变化而变化的原因,且由于试验时湿度越高,纱线的吸湿量越大,测试读数也越大。
在3种方案中,方案1的纱线含湿量最高,方案2次之,方案3最少(几乎处于干燥状态),因此方案1测试平均读数最高,方案2次之,方案3最低。
2.4.2网址纤
纺织纤维的吸湿性有强弱之别,纯棉纱线公定回潮率为8.5%,而涤纶纱线的公定回潮率仅为0.4%。不同纤维的纱线在同样的温湿度条件下吸收的水分也不一样.棉纤维的吸湿性强,涤纶纤维的吸湿性弱,因此,试验时不同的温湿度条件下对纯棉纱的读数影响明显,而对高涤纶纱的读数影响不明显。
3结论与体会
3.1试验时温湿度条件对测量纱线电子条干CV值的读数有影响,随着湿度的增加,读数有增大的趋势,这种影响的大小与被测纱线的纤维成分有关,公定回潮率高的纱线受影响的程度大于公定回潮率低的纱线。
3.2 gb / T 3292一1997“纺织品纱条条干不匀试验方法电容法”对试验大气条件有严格的规定,即温度为20±2℃,相对湿度为(65±3)%的条件下平衡24小时后试验,并且在调湿和试验过程中保持标准大气恒定。并要求试样在吸湿状态下平衡,必要时进行预调湿。
有些工厂试验室不具备上述条件,GB / T 3292规定了工厂试验室在不能满足上述条件下,应在以下稳定的温湿度条件下,使试样达到平衡后进行试验。稳定的温湿度条件是:平均温度为18 ~ 28℃,平均相对湿度为50% ~ 75%,同时应保证温度的变化不超过上述范围内某平均温度土3℃,温度变化率不超过0.5℃/分钟;相对湿度的变化不超过上述范围内某平均相对湿度土3%,相对湿度的变化率不超过0.25% /分钟。
在工作中我们有时发现,就同一批纱,我中心与工厂试验室测试的电子条干CV值有一定差异。笔者认为试验时的温湿度差异是造成这一现象的重要原因之一。因为我中心试验室是严格按照GB / T 3292的规定进行,而工厂试验室往往是在自然的大气条件下进行试验。
3.3由于试验温湿度条件影响测试值读数,因此我们在对产品定等,仲裁,监督及其他重要检验时,必须按GB / T 3292中规定的大气条件进行试验。否则,由于温湿度波动,致使试验结果没有可比性。

